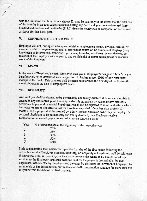
13_19.gif