4.2.2. Low-Frequency Techniques
* =
o (
' - j
") (Equation 4.6)
where
o is the permittivity of free space, the admittance Y of the capacitor is given by Y = j
C. For a
lossy capacitor filled with the dielectric material under test,
Y = j
K
o (
' - j
") (Equation 4.7)
where K is a constant dependent on the geometry of the sample holder. For example, K = A/d for an ideal parallel-plate capacitor, where A is the area of the plates and d is the separation between the plates. The imaginary and real parts of the admittance are hence given by
B =
K
o
' (Equation 4.8)
G =
K
o
" (Equation 4.9)
(Equation 4.10)
(Equation 4.11)
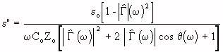
where Im means imaginary part; Re, real part;
, the complex reflection coefficient assuming the sample to be of infinite length; and P, the propagation factor.
and P are given in terms of the S-parameters by
(Equation 4.12)
where
(Equation 4.13)
and
(Equation 4.14)
where
is the propagation constant and L is the length of the sample under test . This measurement procedure
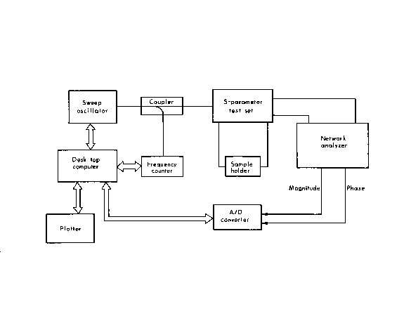
provides enough information to obtain the complex permeability of the sample as well as the complex permittivity. To avoid resonance effects in these measurements, the sample length should be limited to less than a quarter of a wavelength at the highest frequency of operation. Typical sample holders suitable for these measurements at microwave frequencies are shown in Figure 4.8. For the lumped-capacitor holder in Figure 4.8b, only measurement of the reflection coefficient is required; and the calculations are made as described in the following section.
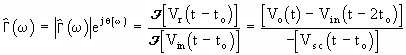
(Equation 4.15)
where
represents the Fourier transform; Vin and Vr, the incident and reflected voltages respectively; Vsc, the
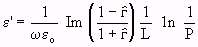
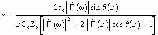
reflected voltage when the sample holder is replaced by a short circuit; Vo, the total voltage signal recorded on the TDR screen; and to, the propagation time between the sampling probe and the sample holder. The real and imaginary parts of the relative permittivity are calculated from the complex reflection coefficient in Equation 4.15 using the following relations:
(Equation 4.16)
(Equation 4.17)
where
and
are, respectively, the magnitude and phase of the frequency-domain reflection coefficient, and Co is the capacitance of the airfilled capacitor terminating the transmission line of characteristic impedance Zo.
(Equation 4.18)where
Z = antenna impedance
* = complex permittivity of the material being measured
= intrinsic impedance of the material being measured
= intrinsic impedance of free space
= index of refraction of the material being measured relative to free space
When a short monopole antenna is used as the probe, the probe impedance is given by
(Equation 4.19)
where A and C are constants determined by the probe's dimensions. This expression is valid when the probe
length is less than 10% of the wavelength in the material being measured. Combining this expression with Equation 4.18 gives the following expressions for the resistance and reactance of the complex impedance Z(
,
*) = R + jX:
(Equation 4.20)

where tan
is the loss tangent. In the above pair of equations all parameters except
' and
are known or
can be determined from experimental measurements. Because simultaneous solution of these equations is difficult, an iterative method of solution is usually used. The second terms in Equations 4.20 and 4.21 are small at low
frequencies. When these terms are neglected, the following equations result:
(Equation 4.22)
(Equation 4.23)
Solutions to these equations are obtained by dividing Equation 4.22 by 4.23 to get tan
= R/X; therefore,
by measuring the input impedance of a short monopole antenna inserted into a material, we can calculate both the relative dielectric constant,
', and the conductivity,
.
![]()
Go to Chapter 4.3
Return to Table of Contents.
Last modified: June 24, 1997
© October 1986, USAF School of Aerospace Medicine, Aerospace Medical Division (AFSC), Brooks Air Force Base, TX 78235-5301
This is a Department of Defense computer system for authorized use only. DoD computer systems may be monitored for all lawful purposes, including to ensure that their use is authorized, for management of the system, to facilitate against unauthorized access, and to verify security procedures, survivability, and operational security. Using this system constitutes consent to monitoring. All information, including personal information, placed on or sent over this system may be obtained during monitoring. Unauthorized use could result in criminal prosecution.
POC: AFRL/HEDM, (210)536-6816, DSN 240-6816