Table 3.4. Some Frequently Used Relationships

sigma = omega epsilon o epsilon" sigma is conductivity in siemens/meter
epsilon o = 8.85 x 10-12 F/m: permittivitiy of free space
epsilon" is the imaginary part of complex relative permittivity
omega = 2pi fomega is radian frequency in radians/second
f is frequency in hertz
tan delta = epsilon"/epsilon'tan delta is the loss tangent
P = sigma | E |2 P is density of absorbed power at a point in watts/cubic meter
delta is conductivity in siemens/meter at the point
|E | is rms electric-field intensity in rms volts/meter
D = epsilon ED is electric-flux density in coulombs/square meter
epsilon is permittivity in farads/meter
E is electric-field intensity in volts/meter
B = mu HB is magnetic-flux density in tesla
mu is permeability in henry/meter
H is magnetic-field intensity in amperes/meter
epsilono=8.85 x 10-12 F/mepsilono is the permittivity of free space
muo = 4 pi x 10-7 H/mmuo is the permeability of free space
f = 1/Tf is frequency in hertz
T is period in seconds
lambda = v/flambda is wavelength in meters
v is velocity of propagation in meters/second
f is frequency in hertz
equationE/H is the wave impedance in ohms
E/H = 377 ohms in free spaceE is the magnitude of the electric-field intensity in volts/meter
H is the magnitude of the magnetic-field intensity in amperes/meter
equationv is the velocity of propagation in meters/second
v = 3 x 108 m/s in free spacemu is the premeability in henry/meter
epsilon is the permittivity in farad/meter
<P> = <E x H><P> is the time-averaged Poynting's vector in watts/square meter
E is the electric-field intensity in rms volts/meter
H is the magnetic-field intensity in rms amperes/meter
P = E2/377P is the magnitude of the time-average Poynting vector for a planewave in free space
E is the magnitude of the electric-field intensity in rms volts/meter
377 is the wave impedance of free space in ohms
S = Emax/EminS is the standing-wave ratio (unitless)
E max is the maximum value of the magnitude of the electric-field intensity anywhere along the wave
E min is the minimum value of the magnitude of the electric-field intensity anywhere along the wave
S = (1 + rho) / (1 - rho)S is the standing-wave ratio (unitless)
rho is the magnitude of the reflection coefficient (ratio of reflected E-field to incident E-field)
equation
delta is the skin depth in meters
epsilon' is the real part of the permittivity
epsilon " is the imaginary part of the permittivity
f is the frequency in MHz
SAR = sigma|E| 2 / rhomSAR is the local specific absorption rate in watts/kilogram
sigma is the conductivity in siemens/meter
|E| is the electric-field strength in rms volts/meter
rhom is the mass density in kilograms/cubic meter
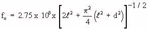
equation
fo is the resonant frequency in hertz of the SAR for E polarization
L is the average length of the absorbing object
d is the average diameter of the absorbing object
equationF is the rms value of the periodic function f (t)
T is the period of the function
G = gp /square rootG is the rms value of a sinusoid
Gp is the peak value of the sinusoid
d = 2L2/ lambdad is the approximate distance from an antenna at which the n ear fields become negligible and the fields are approximately far fields
L is the largest dimension of the antenna
lambda is the wavelength

This is a Department of Defense computer system for authorized use only. DoD computer systems may be monitored for all lawful purposes, including to ensure that their use is authorized, for management of the system, to facilitate against unauthorized access, and to verify security procedures, survivability, and operational security. Using this system constitutes consent to monitoring. All information, including personal information, placed on or sent over this system may be obtained during monitoring. Unauthorized use could result in criminal prosecution.

POC: AFRL/HEDM, (210)536-6816,  DSN 240-6816