X.25 PROTOCOL
This project was written by: Levi Ehud, Hadad Eli and Epstein Amir as part of the course : Protocols and Computer Networks given by Dr.Debby Koren at the Tel-Aviv University, Israel.
In the early 1970's there were many data communication
networks(also known as Public Networks), which were owned by
private companies, organizations and governments agencies.
Since those public networks were quite different internally, and
the interconnection of networks was growing very fast, there was
a need for a common network interface protocol.
In 1976 X.25 was recommended as the desired protocol by the International Consultative Committee for Telegraphy and Telephony (CCITT) called the International Telecommunication Union (ITU) since 1993.
X.25 is a packet switched data network protocol which defines an international recommendation for the exchange of data as well as control information between a user device (host), called Data Terminal Equipment (DTE) and a network node, called Data Circuit Terminating Equipment (DCE).
X.25 utilizes a Connection-Oriented service which insures that packets are transmitted in order.
X.25 comes with three levels based on the first three layers of the Open Systems Interconnection(OSI) seven layers architecture as defined by the International Standard Organization(ISO).
The levels are:
X.25 was originally approved in 1976 and subsequently revised in 1977, 1980, 1984, 1988 and 1992. It is currently (1996) one of the most widely used interfaces for data communication networks.
We will examine now each level in more detail:
The physical level (level 1) deals with the electrical,
mechanical, procedural and functional interface between the DTE
and the DCE.
The physical level is specified by the X.21, X.21-bis and the
V.24 recommendation for modems and interchange circuits.
Now we will discuss in more detail the X.21 interface since it is the most commonly used one.
In 1976 CCITT recommended a digital signaling interface called X.21. The recommendation specifies how the DTE can setup and clear calls by exchanging signals with the DCE.
The physical connector has 15 pins, but not all of them are
used.
The DTE uses the T and C circuits to transmit data
and control information. The DCE uses the R and I
circuits for data and control. The S circuit contains a
signal stream emitted by the DCE to provide timing information so
the DTE knows when each bit interval starts and stops.
The B circuit may also provide to group the bits into byte
frames. If this option is not provided the DCE and DTE must begin
every control sequence with at least two SYN characters to enable
each other to deduce the implied frame boundary.
The link level (also called level 2, or frame level) ensures reliable transfer of data between the DTE and the DCE, by transmitting the data as a sequence of frames (a frame is an individual data unit which contains address, control, information field etc.).
The functions performed by the link level include:
The link level uses data link control procedures which are compatible with the High Level Data Link (HDLC) standardized by ISO, and with the Advanced Data Communications Control Procedures (ADCCP) standardized by the U.S.American National Standards Institute (ANSI).
There are several protocols which can be used in the link level:
We now discuss LAPB in more detail since,as we mentioned before,it is the most commonly used.
The LAPB protocol uses the following frame structure:
There are three kinds of frames:
The packet level (also called level 3 or network level) creates network data units called packets which contain control information and user data.
The packet level provides procedures for handling the following services:
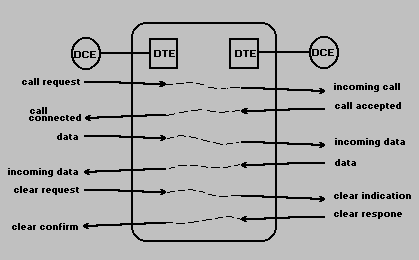
When DTE A wants to communicate with DTE B, it must set up a connection by building a CALL REQUEST packet, and passing it to it's DCE.
DTE B gets the packet through the subnet and it's DCE. If DTE B wishes to accept the call, it sends a CALL ACCEPTED packet back.
When DTE A receives the CALL ACCEPTED packet the Virtual Circuit is established.
At this point the two DTEs may use a full-duplex connection to exchange data packets. When either side wants to finish the call, it sends a CLEAR REQUEST packet to the other side, which then sends a CLEAR CONFIRMATION packet back as an acknowledgment.
The DTE determines the circuit number on outgoing calls and the DCE determines the circuit number on incoming calls If both simultaneously choose the same number then Call Collision occurs. X.25 specifies that in this case, the outgoing call is put through and the incoming one is cancelled.
We will examine now the format of the packets in X.25 protocol.
The format of the control packets is as
follows:
The control packet as well as all X.25 packets begins with a 3-byte header. Bytes 1,2 contain the Group and the Channel fields that together form a 12 bit virtual circuit number. Number 0 is reserved for future use, so a DTE may have up to 4095 virtual circuits at a time.
The CALL REQUEST packet:
The additional information of the CALL REQUEST
packet is as follows:
The Length Of Calling Address and Length Of
Called Address fields tell how long the calling
and called addresses are, respectively. The next
two fields are the addresses, both addresses are
encoded as decimal digits, 4 bits for digit.
The addressing system used in X.25 is defined in CCITT recommendation X.121. This system is similar to the public switched telephone network, with each host identified by a decimal number consisting of country code, a network code, and an address within the specified network. The full address may contain up to 14 digits, of which the first three indicate the country , and the next one indicates the network number(for countries with many public networks multiple country codes exist). The division of the remaining 10 digits is not specified by X.121, permitting each network to allocate the 10 billion addresses itself.
The Facilities Length field tells how many bytes of facilities field follow. The Facilities field itself is used to request special features for this connection.
The specific features may vary from network to network. Possible features are reverse charging(collect calls), simplex instead of full-duplex virtual circuit, maximum packet length and a window size rather than using the defaults of 128 bytes and 2 packets.
The last field is The User Data field which allows the DTE to send up to 16 bytes of data together with the CALL REQUEST packet.
Other Control Packets are:
The format of a data packet is shown bellow:
The Q bit indicates qualified data, the intention is to allow protocols in the higher layers to set this bit to 1, to separate their control packets from their data packets. The control field is always 0 for data packets.
The Sequence and Piggyback fields are used for flow control, using a sliding window. The sequence numbers are modulo 8 if Modulo is 01, and modulo 128 if Modulo is 10 (00 and 11 are illegal). If modulo 128 sequence numbers are used, the header is extended with an extra byte to accommodate longer Sequence and Piggyback fields.
The D bit determines the meaning of the Piggyback field. D=0, means that the local DCE has received the packet, but not that the remote DTE has received it. D=1, means that the packet has been successfully delivered to the remote DTE.
The More field allows a DTE to indicate that a group of packets belong together.
The standard is that carriers are required to support a maximum packet length of 128 data bytes. However it also allows carriers to provide optional maximum lengths from 16 up to 4096 bytes (in powers of 2).
The X.25 standard contains several state diagrams to
describe event sequences such as call setup and call
clearing. The diagram bellow shows the subphases of call
setup:
Initially, the interface is in state P1.A CALL REQUEST
or INCOMING CALL changes the state to P2 or P3,
respectively. From these states the data transfer state,
P4, can be reached, either directly, or via P5.
Similar diagrams are provided for Call Clearing,
Resetting, and Restarting.